创新奇智在IEEE发表论文,提出新算法精准识别低分辨率图像
近日,创新奇智研发团队在国际权威学术期刊《IEEE Transactions on Neural Networks and Learning Systems》发表论文《Deep Inception-Residual Laplacian Pyramid Networks for Accurate Single-Image Super-Resolution》,提出了一种新的图像超分辨率算法,能更快速提高图像重建精度,在工业品瑕疵检测、精密测量、商品识别等领域具有非常高的实用价值。
《IEEE Transactions on Neural Networks and Learning Systems》由美国电气和电子工程师协会(IEEE)于1990年创办。该期刊属于机器学习、信息科学、人工智能的交叉学科领域,主要刊发神经网络及其学习系统的最新研究成果,是IEEE计算智能学会核心刊物、神经网络和学习系统方面的国际顶级杂志。
图像超分辨重建(Single-Image Super-Resolution, SISR)是计算机视觉领域的基础问题,提高图像分辨率的同时,还能增加更多的高频细节信息,有利于图像的识别、检测和分割等,因此在工业视觉、零售、泛安防等领域有广泛应用。
在早期的SISR方法中,多采用简单堆积卷积层的方式来增加模型视野域,进而提高重建精度,很少关注模型网络结构的优化。因此,随着模型网络结构深度的增加,开始出现精度饱和和退化现象,为了克服这一问题,创新奇智研发团队提出了一种新的图像超分辨率算法。
论文主要贡献:
(1)作者提出了一种基于Inception-Residual Laplacian Pyramid结构的CNN模型,实现图像的超分辨率重建,提高重建精度的同时,降低重建时间消耗。
(2)作者提出了一种多阶段cascade训练策略,降低训练难度的同时,使不同成分的高频信息被逐步用于训练模型,提升了模型训练的稳定性和重建精度。
(3)作者提出了一种同时在图像空间和局部秩空间优化模型的损失函数,有效解决了L2损失函数重建高分辨率图像存在的边缘平滑和纹理细节模糊的问题。
模型结构
该算法整体上采用 Laplacian Pyramid结构,逐级重建高分辨率图像,保证重建质量的前提下,提供更高的重建效率,其结构如图1所示:

图1 :提出超分辨率重建算法的模型结构
同时在每个Pyramid层采用Inception-Residual模块,丰富多尺度特征的同时,可以使模型具有更多的层数,有利于提高重建精度,其结构如图2所示:

图2 :提出超分辨率重建算法的每层Pyramid结构
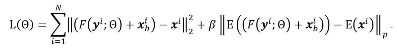
损失函数
同时,创新奇智的研发团队还提出了一种新的损失函数来优化提出算法的模型。该损失不仅采用多级监督模式,监督每层Pyramid的训练,还同时在图像空间和局部秩空间优化模型,使模型能够更好重建锐利边缘和纹理结构,其损失函数如下:

训练策略
此外,为了增加训练的稳定性,算法中还采用了两阶段的cascade训练方法,进一步改善了重建结果,其训练过程如图3所示:

图3 :提出超分辨率重建算法的训练过程
实验和结果
作者在 Set5、Set14、B100、Urban100和Manga109数据集上,对提出的方法和主流的SISR方法进行了对比实验,验证了提出的方法在重建质量和效率方面都有明显的优势。
下表展示了论文提出方法和主流SISR方法在公开数据集Set5、Set14、B100、Urban100和Manga109上重建结果的PSNR和SSIM均值(X4)。


图4:提出算法与其它算法在数据集Set14上的效果对比(X4)
如图4所示,提出方法具有最高的重建质量,重建效率也明显优于SelfExSR、SCN 、DRCN 和VDSR等其他算法。
应用价值
实体世界中有大量具有低分辨率的场景需要被识别。该项研究成果已用于创新奇智工业视觉和零售业产品,用于解决低分辨率小目标的检测和识别问题。
以成衣质检为例,成衣表面的瑕疵多种多样,场景复杂,一些很微小的瑕疵即使肉眼都很难分辨,这时就需要通过AI算法重建图像的分辨率,将其精准识别出来。

再比如,汽车VIN码、钢铁上的产品编号等,很多时候由于温度、湿度、腐蚀等外部环境的影响,会造成字迹模糊、不易被准确读取等问题。
创新奇智将AI算法集成到智能扫码终端,能够识别多种材质表面的模糊标志字符,秒级识别,并达到99.9%以上的准确度。

创新奇智在IEEE发表论文,提出新算法精准识别低分辨率图像
近日,创新奇智研发团队在国际权威学术期刊《IEEE Transactions on Neural Networks and Learning Systems》发表论文《Deep Inception-Residual Laplacian Pyramid Networks for Accurate Single-Image Super-Resolution》,提出了一种新的图像超分辨率算法,能更快速提高图像重建精度,在工业品瑕疵检测、精密测量、商品识别等领域具有非常高的实用价值。
《IEEE Transactions on Neural Networks and Learning Systems》由美国电气和电子工程师协会(IEEE)于1990年创办。该期刊属于机器学习、信息科学、人工智能的交叉学科领域,主要刊发神经网络及其学习系统的最新研究成果,是IEEE计算智能学会核心刊物、神经网络和学习系统方面的国际顶级杂志。
图像超分辨重建(Single-Image Super-Resolution, SISR)是计算机视觉领域的基础问题,提高图像分辨率的同时,还能增加更多的高频细节信息,有利于图像的识别、检测和分割等,因此在工业视觉、零售、泛安防等领域有广泛应用。
在早期的SISR方法中,多采用简单堆积卷积层的方式来增加模型视野域,进而提高重建精度,很少关注模型网络结构的优化。因此,随着模型网络结构深度的增加,开始出现精度饱和和退化现象,为了克服这一问题,创新奇智研发团队提出了一种新的图像超分辨率算法。
论文主要贡献:
(1)作者提出了一种基于Inception-Residual Laplacian Pyramid结构的CNN模型,实现图像的超分辨率重建,提高重建精度的同时,降低重建时间消耗。
(2)作者提出了一种多阶段cascade训练策略,降低训练难度的同时,使不同成分的高频信息被逐步用于训练模型,提升了模型训练的稳定性和重建精度。
(3)作者提出了一种同时在图像空间和局部秩空间优化模型的损失函数,有效解决了L2损失函数重建高分辨率图像存在的边缘平滑和纹理细节模糊的问题。
模型结构
该算法整体上采用 Laplacian Pyramid结构,逐级重建高分辨率图像,保证重建质量的前提下,提供更高的重建效率,其结构如图1所示:

图1 :提出超分辨率重建算法的模型结构
同时在每个Pyramid层采用Inception-Residual模块,丰富多尺度特征的同时,可以使模型具有更多的层数,有利于提高重建精度,其结构如图2所示:

图2 :提出超分辨率重建算法的每层Pyramid结构
损失函数
同时,创新奇智的研发团队还提出了一种新的损失函数来优化提出算法的模型。该损失不仅采用多级监督模式,监督每层Pyramid的训练,还同时在图像空间和局部秩空间优化模型,使模型能够更好重建锐利边缘和纹理结构,其损失函数如下:

训练策略
此外,为了增加训练的稳定性,算法中还采用了两阶段的cascade训练方法,进一步改善了重建结果,其训练过程如图3所示:

图3 :提出超分辨率重建算法的训练过程
实验和结果
作者在 Set5、Set14、B100、Urban100和Manga109数据集上,对提出的方法和主流的SISR方法进行了对比实验,验证了提出的方法在重建质量和效率方面都有明显的优势。
下表展示了论文提出方法和主流SISR方法在公开数据集Set5、Set14、B100、Urban100和Manga109上重建结果的PSNR和SSIM均值(X4)。


图4:提出算法与其它算法在数据集Set14上的效果对比(X4)
如图4所示,提出方法具有最高的重建质量,重建效率也明显优于SelfExSR、SCN 、DRCN 和VDSR等其他算法。
应用价值
实体世界中有大量具有低分辨率的场景需要被识别。该项研究成果已用于创新奇智工业视觉和零售业产品,用于解决低分辨率小目标的检测和识别问题。
以成衣质检为例,成衣表面的瑕疵多种多样,场景复杂,一些很微小的瑕疵即使肉眼都很难分辨,这时就需要通过AI算法重建图像的分辨率,将其精准识别出来。

再比如,汽车VIN码、钢铁上的产品编号等,很多时候由于温度、湿度、腐蚀等外部环境的影响,会造成字迹模糊、不易被准确读取等问题。
创新奇智将AI算法集成到智能扫码终端,能够识别多种材质表面的模糊标志字符,秒级识别,并达到99.9%以上的准确度。
